Một nhóm các nhà thiên văn quốc tế đã dùng đài quan sát không gian Spektr-RG cùng nhiều kính thiên văn mặt đất để quan sát một quasar rất xa có tên ID830. Kết quả công bố ngày 7/11/2025 trên máy chủ tiền in arXiv, cho thấy ID830 là một quasar vô tuyến phát ra tia X mạnh nhất từng được ghi nhận cho tới nay.
Quasar (hay còn gọi là những vật thể gần giống sao / quasi-stellar objects, viết tắt là QSO) là các nhân thiên hà hoạt động (AGN) nằm ở trung tâm những thiên hà đang hoạt động mạnh, được cung cấp năng lượng bởi các lỗ đen siêu nặng. Chúng có độ sáng tổng thể cực lớn và có thể phát bức xạ điện từ trên hầu như toàn bộ phổ sóng: từ vô tuyến, hồng ngoại, ánh sáng khả kiến, tử ngoại cho đến tia X.
Trong số các AGN phát sóng vô tuyến mạnh, eFEDS J084222.9+0010000 (hay ID830) là một trường hợp đặc biệt. Nó có độ dịch chuyển đỏ z = 3,43 và có công suất phát xạ tổng vào khoảng một quindecillion (xấp xỉ 1048) erg/s. Độ sáng này cho thấy hoặc là nó chứa một lỗ đen siêu nặng khối lượng gần mức cực đại khoảng 10 tỷ lần khối lượng Mặt Trời, hoặc là lỗ đen này đang trong giai đoạn bồi tụ siêu Eddington - tức nuốt vật chất với tốc độ cao hơn giới hạn Eddington cho phép.
Để làm rõ kịch bản nào là hợp lý hơn, nhóm do Sakiko Obuchi (Đại học Waseda, Tokyo, Nhật Bản) đứng đầu đã thực hiện một nghiên cứu đa bước sóng chi tiết đối với ID830.
Họ kết hợp phổ tia X từ eROSITA, phổ tử ngoại - quang học trong hệ quy chiếu nghỉ thu từ SDSS và Subaru/MOIRCS, cùng dữ liệu vô tuyến từ LOFAR, GMRT, FIRST, ASKAP và VLASS. Từ đó, nhóm kết luận ID830 là một ví dụ hiếm: một quasar vô tuyến đang bồi tụ siêu Eddington, với mức phát tia X vượt trội bất thường so với các quasar thông thường.
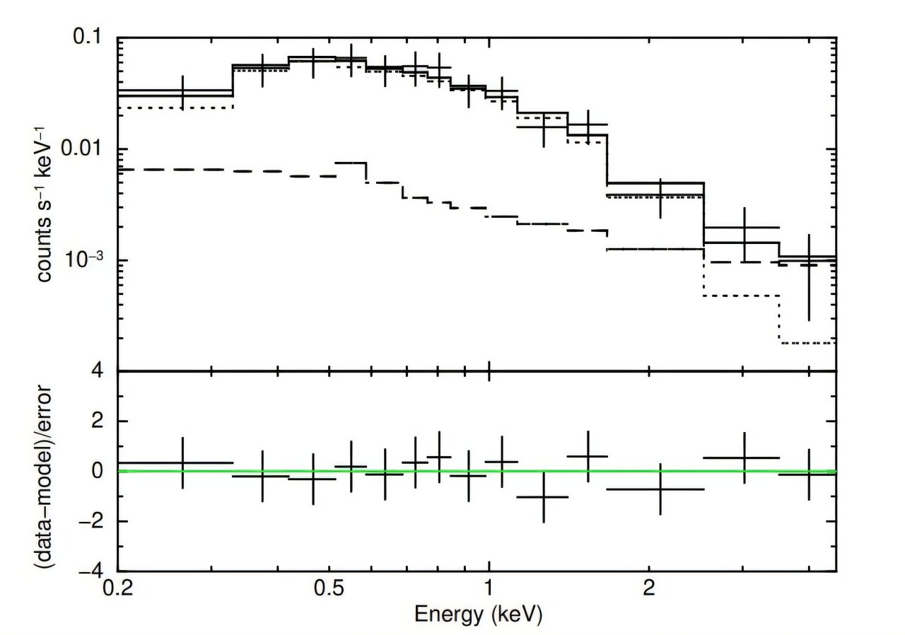
Các phép đo cho thấy ID830 phát tia X với độ sáng vào khoảng 0,01 quindecillion erg/s, khiến nó trở thành một trong những quasar vô tuyến phát tia X mạnh nhất từng được phát hiện. Công suất tổng khoảng 0,076 quindecillion erg/s tương ứng với tỉ số Eddington xấp xỉ 1,4. Đây là dấu hiệu rõ ràng cho thấy nó đang bồi tụ siêu Eddington.
Phân tích quang phổ cho thấy ID830 có mức đỏ hóa trung bình khoảng 0,39 mag. Khối lượng lỗ đen siêu nặng ở trung tâm được ước tính vào khoảng 440 triệu lần khối lượng Mặt Trời, nhưng đang bồi tụ rất mạnh.

Phổ tia X trong hệ quy chiếu quan sát được của ID830, được khớp bằng Xspec. (Nguồn: arXiv (2025). DOI: 10.48550/arxiv.2511.05029)
ID830 cũng có tỉ số độ sáng tử ngoại - tia X cao, với giá trị khoảng -1,2. Giá trị này cao hơn so với nhiều quasar khác và các "chấm đỏ nhỏ" (LRD) đang ở pha siêu Eddington nhưng có độ sáng tử ngoại tương tự. Các LRD được xem như một dạng AGN rất trẻ, nơi lỗ đen siêu nặng mới ở giai đoạn đầu phát triển.
Công suất động lực của dòng phản lực được ước tính nằm trong khoảng 1-10 quattuordecillion (1045) erg/s, xấp xỉ độ sáng bức xạ của chính quasar. Điều này cho thấy năng lượng cơ học từ jet có thể truyền vào môi trường liên sao của thiên hà chủ.
Theo các tác giả, những kết quả trên cho thấy ID830 đang ở trong một giai đoạn chuyển tiếp đặc biệt, khi cả vùng khí nóng bao quanh lỗ đen và dòng phản lực đều được cung cấp năng lượng sau một đợt bùng nổ bồi tụ.
Họ cho rằng ID830 có thể là một quasar siêu Eddington ở giai đoạn hậu bùng nổ, đóng vai trò cầu nối giữa các quasar bồi tụ dưới Eddington và nhóm LRD bồi tụ rất nhanh nhưng phát tia X yếu, vốn mới được kính thiên văn không gian James Webb (JWST) phát hiện gần đây.
Nguyễn Đình Nam
Theo Phys.org



